Упр.988 ГДЗ Алимов 10-11 класс (Алгебра)
Решение #1
Решение #2

Рассмотрим вариант решения задания из учебника Алимов, Колягин, Ткачёва 11 класс, Просвещение:
Найти одну из первообразных функции (988—990).
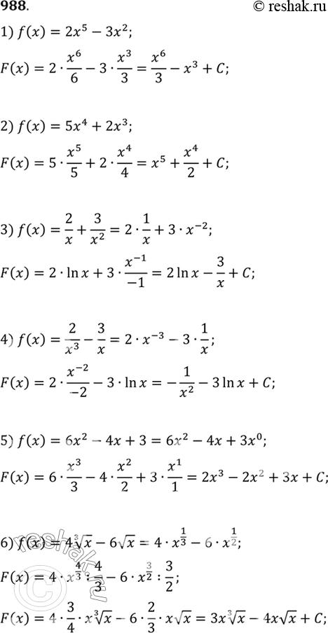
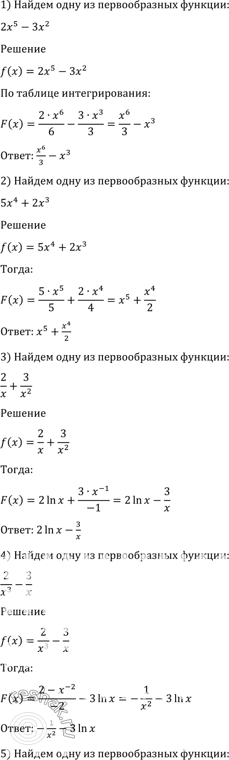
988 1) 2х5-3х2;
2) 5х4 + 2х3;
3) 2/x + 3/x2;
4) 2/x3 - 3/x;
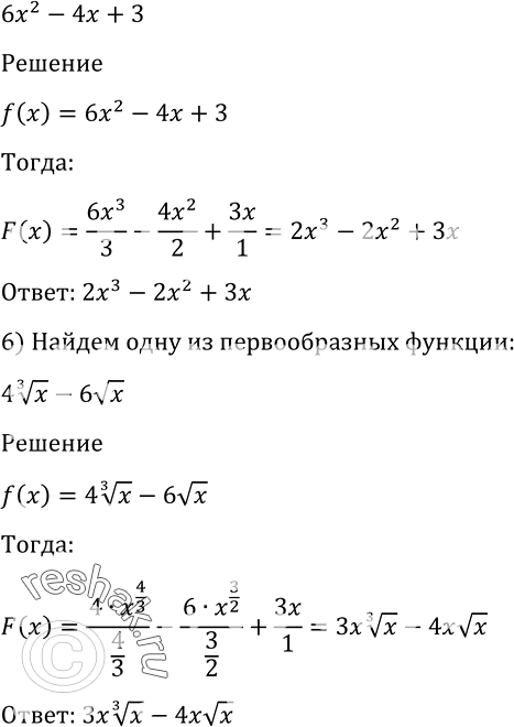
5) 6х2 - 4x + 3;
6) 4 корень 3 степени х - 6 корень x.
*размещая тексты в комментариях ниже, вы автоматически соглашаетесь с пользовательским соглашением