Упр.989 ГДЗ Алимов 10-11 класс (Алгебра)
Решение #1
Решение #2

Рассмотрим вариант решения задания из учебника Алимов, Колягин, Ткачёва 11 класс, Просвещение:
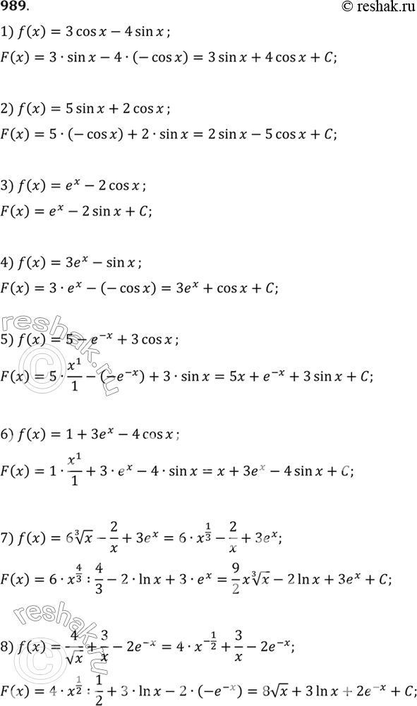
989 1) 3 cos x - 4 sin x;
2) 5 sin x + 2 cos x;
3) ex - 2 cos x;
4) 3ex - sin x;
5) 5-e^-x + 3 cos x;
6) 1 + 3ex-4cos x;
7) 6 корень 3 степени x- 2/x + 3ex;
8) 4/ корень x + 3/x - 2e^-x.
*размещая тексты в комментариях ниже, вы автоматически соглашаетесь с пользовательским соглашением